Ácido dietilentriaminopenta(metilenfosfónico) CAS#15827-60-8
Número CAS:15827-60-8
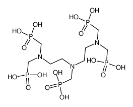
Fórmula química:C9H28N3O15P5
Sinónimos:
dtpmp
DIETILENETRIAMINEPENTAKIS (ÁCIDO METILFOSFÓNICO)
dequest 2060
MOQ (cantidad mínima de pedido): 1 FCL (Carga de contenedor completo)
Apariencia:Aceite amarillo
Ácido dietilentriaminopenta(metilenfosfónico) CAS#15827-60-8
El ácido dietilentriaminopentakis(metilfosfónico) (DTPMP) es un agente quelante multidentado. Se ha descrito la oxidación del DTPMP por peróxido de hidrógeno. El DTPMP, un fosfonato, se utiliza comúnmente como inhibidor de la cristalización.
Propiedades químicas del ácido dietilentriaminopenta(metilenfosfónico) |
Punto de ebullición |
1003,3 ± 75,0 °C (previsto) |
densidad |
1,35 (50% acuoso) |
presión de vapor |
0 Pa a 25 ℃ |
Temperatura de almacenamiento. |
Higroscópico, congelador a -20 °C, bajo atmósfera inerte |
solubilidad |
Base acuosa (en pequeñas cantidades), agua |
pka |
0,59±0,10 (Predicho) |
forma |
Aceite |
color |
Amarillo pálido a marrón |
Solubilidad en agua |
500 g/L a 25 ℃ |
BRN |
2068968 |
Funciones de los ingredientes cosméticos |
QUELANTE |
InChiKey |
DUYCTCQXNHFCSJ-UHFFFAOYSA-N |
SONRISAS |
P(=O)(O)(O)CN(CCN(CCN(CP(=O)(O)O)CP(=O)(O)O)CP(=O)(O)O)CP(=O)(O)O |
Iniciar sesión |
-3.4 |
Referencia de la base de datos CAS |
15827-60-8(Referencia de la base de datos CAS) |
Sistema de registro de sustancias de la EPA |
Ácido fosfónico, [[(fosfonometil)imino]bis[2,1-etanodiilnitrilobis(metileno)]]tetrakis- (15827-60-8) |
Información de seguridad |
Códigos de peligro |
Xi,C |
Declaraciones de riesgo |
36/37/38-51/53-41-37/38 |
Declaraciones de seguridad |
26-36-33-28-23-16-9-39 |
RIDADR |
ONU 1789 8/PG 2 |
WGK Alemania |
- |
TSCA |
Listado en TSCA |
Clase de peligro |
8 |
Clase de almacenamiento |
8A - Materiales peligrosos corrosivos combustibles |
Clasificaciones de peligro |
Presa ocular. 1 |
Aplicación del producto de ácido dietilentriaminopenta(metilenfosfónico) CAS#15827-60-8
Formulaciones para el tratamiento del agua.
Aditivo para detergentes y productos de cuidado personal
Productos de limpieza industriales e institucionales
Aditivo para campos petroleros
Productos químicos auxiliares para textiles como el blanqueador de peróxido y el cuero.
Hecho Feria de fábricas y equipos
Tiempo de entrega rápido
Inventario: 2-3 días laborables. Nueva producción: 7-10 días laborables.


