Nitrato de praseodimio(III) hexahidratado CAS#15878-77-0
Número CAS:15878-77-0
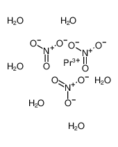
Fórmula química:H12N3O15Pr
Sinónimos:
Nitrato de praseodimio(III) hexahidratado, REacton(R), 99,99% (REO)
Nitrato de praseodimio(III) hexahidratado, REacton, 99,99% (REO)
trinitrato de praseodimio(3+) hexahidratado
Cantidad mínima de pedido (MOQ):1 FCL (Carga de contenedor completo)
Apariencia:Polvo verde
Nitrato de praseodimio(III) hexahidratado CAS#15878-77-0
El nitrato de praseodimio se utiliza en vidrios y esmaltes de color; al mezclarse con otros materiales, produce un color amarillo intenso y puro en el vidrio. Es un componente del vidrio didimio, empleado en la fabricación de ciertos tipos de gafas de soldador y soplador de vidrio, y también un importante aditivo en los pigmentos amarillos de praseodimio. Puede utilizarse para crear imanes de alta potencia, conocidos por su fuerza y durabilidad. Está presente en la mezcla de tierras raras cuyo fluoruro constituye el núcleo de las lámparas de arco de carbono, utilizadas en la industria cinematográfica para la iluminación de estudios y proyectores.
Propiedades químicas del nitrato de praseodimio(III) hexahidratado |
Punto de fusión |
<100°C ((lit.)) |
densidad |
2,233 g/cm³ ((lit.)) |
solubilidad |
soluble en etanol, acetona |
forma |
cristal |
color |
verde claro |
Solubilidad en agua |
Soluble en agua, amina anhidra, alcohol, éter, disolventes polares y acetonitrilo. |
Sensible |
Higroscópico |
Estabilidad: |
Estable. Incompatible con metales finamente pulverizados, agentes reductores fuertes y ácidos fuertes. Oxidante. |
Aplicación principal |
precursor de síntesis de materiales |
InChi |
InChI=1S/3NO3.6H2O.Pr/c3*2-1(3)4;;;;;;;/h;;;6*1H2;/q3*-1;;;;;;;+3 |
InChiKey |
LXXCECZPOWZKLC-UHFFFAOYSA-N |
SONRISAS |
[Pr+3].[N+]([O-])(=O)[O-].[N+]([O-])(=O)[O-].[N+]([O-])(=O)[O-].[H]O[H].[H]O[H].[H]O[H].[H]O[H].[H]O[H].[H]O[H] |
Referencia de la base de datos CAS |
15878-77-0(Referencia de la base de datos CAS) |
Información de seguridad |
Códigos de peligro |
O, Xi |
Declaraciones de riesgo |
8-36/37/38 |
Declaraciones de seguridad |
17-26-27-36/37/39 |
RIDADR |
UN 1465 5.1/PG 3 |
WGK Alemania |
2 |
RTECS |
TU1400000 |
TSCA |
Sí |
Clase de peligro |
5.1 |
Grupo de embalaje |
III |
Código HS |
2846901030 |
Clase de almacenamiento |
5.1B - Materiales peligrosos oxidantes |
Clasificaciones de peligro |
Acuático agudo 1 |
Aplicación del producto nitrato de praseodimio(III) hexahidratado CAS#15878-77-0
El nitrato de praseodimio(III) hexahidratado se utiliza en componentes eléctricos, vidrios ópticos y materiales fotoópticos. También se emplea como catalizador y reactivo de laboratorio. Además, se utiliza en el proceso solvotérmico para la formación de oxisulfuros de lantánidos dopados. Es precursor para la electrodeposición de óxido de praseodimio en aplicaciones electroquímicas. Es materia prima para la preparación de pigmentos cerámicos, estructuras metalorgánicas y conductores mixtos. Asimismo, resulta útil en la síntesis de otros compuestos y complejos de praseodimio. |
Hecho Feria de fábricas y equipos
Tiempo de entrega rápido
Inventario: 2-3 días laborables. Nueva producción: 7-10 días laborables.


